Alexandria Bicycle & Pedestrian Advisory Committee

Promoting a safe, accessible, and equitable city for all

Skip to content
  • Advocacy
    • Action Alerts
      • Action Alert: Braddock Road
    • Vision Zero
  • Who we are
    • About us
    • Annual Reports
    • Articles of Incorporation
    • Forums
    • Newsletters
    • Friends and Partners
  • Youth Programs
  • Bike Rodeos
    • Bike Rodeo Guide for a Sponsoring Organization
  • Rides & Walks
    • 2025 Rides and Walks
    • 2024 Rides and Walks
    • 2023 Rides and Walks
    • 2022 Rides and Walks
    • 2021 Rides and Walks
    • 2020 Rides and Walks
    • 2019 Rides
  • Meetings
  • Contact Us
Search

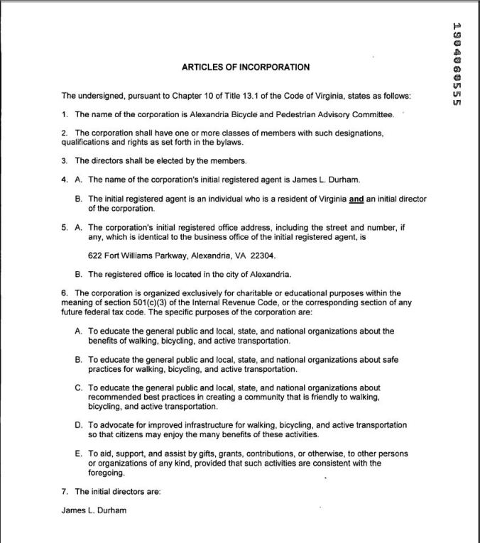
Articles of Incorporation

Articles of Incorporation_1Articles_Pg2

Articles_Pg3

 

 

Share this:

  • Share on X (Opens in new window) X
  • Share on Facebook (Opens in new window) Facebook
Like Loading...

Help promote walking and bicycling in Alexandria

Become a BPAC member, or Donate Button with Credit Cards or send a check to Alexandria BPAC, 307 N West St, Alexandria VA 22314. Contribute today to directly support our advocacy, education, and outreach work.

BPAC on Facebook

BPAC on Facebook

Upcoming Events

No upcoming events

Alexandria Bicycle and Pedestrian Advisory Committee

A 501(c)3 Non-profit Organization

Alexandria Bicycle and Pedestrian Advisory Committee

alexandriabpac@gmail.com

Facebook BPAC on Facebook

Blog at WordPress.com.
  • Subscribe Subscribed
    • Alexandria Bicycle & Pedestrian Advisory Committee
    • Already have a WordPress.com account? Log in now.
    • Alexandria Bicycle & Pedestrian Advisory Committee
    • Subscribe Subscribed
    • Sign up
    • Log in
    • Copy shortlink
    • Report this content
    • View post in Reader
    • Manage subscriptions
    • Collapse this bar

Loading Comments...

You must be logged in to post a comment.

    %d